Государственная поверочная схема
Поверочная схема средств измерений – это иерархическая структура, устанавливающая соподчинение эталонов, участвующих в передаче единицы или шкалы измерений от исходного эталона средствам измерений (с указанием методов и погрешностей при передаче), утверждаемая в установленном порядке в виде нормативного документа. Поверочная схема может быть использована для установления метрологической прослеживаемости результатов измерений. (РМГ 29-2013)
Поверочная схема устанавливает передачу размера единиц одной или нескольких взаимосвязанных физических величин от исходного эталона вторичным, рабочим эталонам и рабочим средствам измерений. Государственные стандарты описывающие государственные поверочные схемы, содержат чертеж поверочной схемы и текстовую часть с пояснениями, которая, в свою очередь, состоит из вводной части и пояснений к элементам поверочной схемы, таких как, состав эталонов, их точностные характеристики, номинальные значения или диапазоны измерения (воспроизведения) единицы величины, методы передачи еденицы величины от эталонов более высокого уровня соподчененным им эталонам (средствам измерений), а так же погрешность, используемых в схеме, методов передачи единицы величины.
Государственные поверочные схемы – распространяются на все средства измерений данной физической величины, применяемые в стране и служат основой при составлении ведомственных и локальных поверочных схем. Требования к содержанию и построению поверочных схем изложены в ГОСТ 8.061-80 «ГСИ. Поверочные схемы. Содержание и построение.».
Государственные поверочные схемы утверждаются в качестве государственных стандартов: «Государственная система обеспечения единства измерений. Государственный первичный (специальный) эталон и государственная поверочная схема для средств измерений "наименование физической величины"». В случае, когда государственная поверочная схема возглавляется комплексом эталонов или установкой высшей точности, её утверждают в качестве государственного стандарта без указания в наименовании стандарта фразы "Государственный первичный эталон", наименование в таком случае выглядит так: «Государственная система обеспечения единства измерений. Государственная поверочная схема для средств измерений "наименование единицы величины"» .
Разрабатываются государственные поверочные схемы для средств измерений физической величины метрологическими институтами – хранителями государственных эталонов единиц соответствующих величин. В случае отсутствия государственного эталона для данной величины, государственная поверочная схема разрабатывается головным институтом (центром) в данной области измерений. Головные институты (центры) при разработке государственных поверочных схем могут привлекать в качестве соисполнителей головные (базовые) организации метрологических служб министерств (ведомств).
Структура государственной поверочной схемы (виды вторичных эталонов, число разрядов рабочих эталонов, их точностные характеристики и т.п.) разрабатывается с учетом:
- оптимальных соотношений погрешностей поверяемого и образцового средств измерений;
- допускаемой вероятности признания годным метрологически неисправного средства измерений;
- допускаемого отношения числа метрологически исправных, но забракованных средств к общему числу метрологически исправных средств и др.
Чертеж поверочной схемы должен содержать:
- наименования средств измерений и методов поверки;
- номинальные значения или диапазоны значений физических величин;
- допускаемые значения погрешностей средств измерений;
- допускаемые значения погрешностей методов поверки.
Структура государственной поверочной схемы содержит поля:
- «Эталоны» или «Государственный эталон» (если вторичные эталоны отсутствуют);
- «Образцовые средства измерений n-го разряда» (для каждого разряда – отдельное поле);
- «Образцовые средства измерений, заимствованные из других государственных поверочных схем»;
- «Рабочие средства измерений».
Наименования эталонов на чертеже поверочной схемы располагаются сверху вниз в порядке их соподчиненности, начиная с государственного первичного (специального) эталона и заканчивая рабочими средствами измерений.
Под наименованиями эталонов и рабочих средств измерений указываются номинальные значения или диапазоны значений физических величин и значения их погрешностей.
Под наименованиями образцовых средств измерений указывают диапазоны измерений и значения погрешностей средств измерений.
Метрологические характеристики средств измерений, указываемые в поверочной схеме выражаются в соответствии с требованиями ГОСТ 8.057-80, рабочих средств измерений в соответствии с ГОСТ 8.009-84. Наименования эталонов, их номинальные значения или диапазоны значений физических величин и погрешности, выражаются в поверочной схеме согласно требованиям ГОСТ 8.372-80. Наименования и обозначения физических величин и их единиц выражают в соответствии с ГОСТ 8.417-2002.
Методы поверки средств измерений, указываемые, на поверочной схеме, с целью унификации выбираются из следующих общих методов:
- непосредственное сличение (т.е. без средств сравнения);
- сличение при помощи компаратора (т.е. с использованием средств сравнения);
- метод прямых измерений;
- метод косвенных измерений.
Под наименованием метода поверки указывают допускаемое значение погрешности метода поверки.
Наименование государственного эталона на чертеже поверочной схемы заключается в прямоугольник, образованный двойной линией. Наименования иных эталонов (эталонов копий, эталонов сравнения, рабочих эталонов), а также рабочих средств измерений заключаются в прямоугольники, образованные одинарной линией. Наименования методов поверки заключаются в горизонтальные овалы, которые располагают между наименованиями объектов поверки и средств измерений, от которых передают размер единицы.
Передача размеров единиц, сверху вниз отображаются сплошными линиями, соединяющими объекты поверки с соответствующими средствами, от которых передается размер единицы. В разрыв этих линий помещены овалы с указанием основных методов поверки.
Примеры построения поверочных схем при различных сочетаниях числа участвующих в передаче эталонов, методов передачи и единиц величин:
| От эталона или образцового средства измерений 1 объекту поверки 5 методом 3 | ![]() |
| От эталона 1 объектам поверки 5 и 6 методом 3 | ![]() |
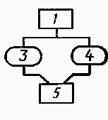
| От эталона 1 объекту поверки, 5 методом 3 или 4 | ![]() |
| От эталона 1 объекту поверки 5 методом 3 и объекту поверки 6 методом 4 | ![]() |
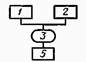
| От эталона 1 или 2 объекту поверки 5 методом 3 | ![]() |
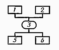
| От эталона 1 или 2 объектам поверки 5 и 6 методом 3 | ![]() |
| От эталонов 1 и 2 единиц различных физических величин объекту поверки 5 методом 3 | ![]() |
| От эталонов 1 и 2 единиц различных физических величин объектам поверки 5 и 6 методом 3 | ![]() |
| От эталона 1 методом 3 или от эталона 2 методом 4 объекту поверки 5 | ![]() |
| От эталона 1 методом 3 или эталона 2 методом 4 объектам поверки 5 и б | ![]() |
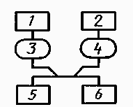
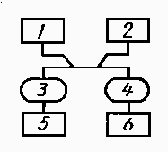
| От эталона 1 или 2 объекту поверки 5 методом 3 или объекту поверки 6 методом 4 | ![]() |
| От эталонов 1 и 2 единиц различных физических величин методом 3 объекту поверки 5 и методом 4 объекту поверки 6 | ![]() |
- Дата вступления в силу Не указана
- Загрузить Нет документов
- Статус Не указан











